甲乙丙三人在2008年的年龄(周岁)之和为60,2010年甲是丙年龄的两倍,2011年乙是丙年龄的两倍,问甲是哪一年出生的?( )A. 1988 B....

作者: rantiku 人气: - 评论: 0
问题 甲乙丙三人在2008年的年龄(周岁)之和为60,2010年甲是丙年龄的两倍,2011年乙是丙年龄的两倍,问甲是哪一年出生的?( ) A. 1988 B. 1986 C. 1984 D. 1982
选项
答案 C
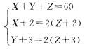
解析 设甲、乙、丙在2008年的岁数为X、Y、Z。由题意有 解得X = 24,则甲是在1984年出生的。

猜你喜欢

发表评论
更多 网友评论0 条评论)
暂无评论

访问排行

Copyright © 2012-2014 恰考网 Inc. 保留所有权利。 Powered by tikuer.com

页面耗时0.0375秒, 内存占用1.03 MB, Cache:redis,访问数据库15次