根据下列统计资料回答问题。2011年8月份,社会消费品零售总额14705亿元,同比增长17.0%。其中,限额以上企业 (单位)消费品零售额6902亿元...

作者: rantiku 人气: - 评论: 0
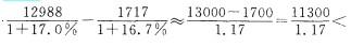
问题 根据下列统计资料回答问题。 2011年8月份,社会消费品零售总额14705亿元,同比增长17.0%。其中,限额以上企业 (单位)消费品零售额6902亿元,增长22.1%。1——8月份,社会消费品零售总额114946亿元, 同比增长16.9%。从环比看,8月份社会消费品零售总额增长1.36%。 按经营单位所在地分,8月份,城镇消费品零售额12783亿元,同比增长17.1%;乡村消费品零售额1922亿元,增长16.4%。 按消费形态分,8月份,餐饮收入1717亿元,同比增长16. 7%;商品零售额12988亿元,增 长17.0%。在商品零售中,限额以上企业(单位)商品零售额6364亿元,增长22.5%。 2010年8月商品零售额比餐饮收人高多少亿元?( ) A. 9630 B. 11271 C. 12988 D. 11101
选项
答案 A
解析 2010年8月商品零售额比餐饮收入高 10000(亿元),故正确答案为A。

猜你喜欢

发表评论
更多 网友评论0 条评论)
暂无评论

访问排行

Copyright © 2012-2014 恰考网 Inc. 保留所有权利。 Powered by tikuer.com

页面耗时0.0383秒, 内存占用1.03 MB, Cache:redis,访问数据库19次