根据下列统计资料回答问题。2011年8月份,社会消费品零售总额14705亿元,同比增长17.0%。其中,限额以上企业 (单位)消费品零售额6902亿元...

作者: rantiku 人气: - 评论: 0
问题 根据下列统计资料回答问题。 2011年8月份,社会消费品零售总额14705亿元,同比增长17.0%。其中,限额以上企业 (单位)消费品零售额6902亿元,增长22.1%。1——8月份,社会消费品零售总额114946亿元, 同比增长16.9%。从环比看,8月份社会消费品零售总额增长1.36%。 按经营单位所在地分,8月份,城镇消费品零售额12783亿元,同比增长17.1%;乡村消费品零售额1922亿元,增长16.4%。 按消费形态分,8月份,餐饮收入1717亿元,同比增长16. 7%;商品零售额12988亿元,增 长17.0%。在商品零售中,限额以上企业(单位)商品零售额6364亿元,增长22.5%。 以下说法中,正确的是( )。 A. 2011年8月餐饮行业中限额以上企业收入所占比重不足一半 B. 2011年7月社会消费品零售总额比上月增长约1000亿元 C. 2011年8月乡村消费品零售额同比增长约100亿元 D. 2011年8月限额以上企业餐饮收入同比增速快于限额以上企业商品零售收入增速
选项
答案 A
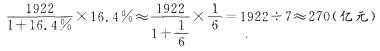
解析 A项.2011年8月餐饮行业中限额以上企业收入为6902 - 6364 = 538(亿元),小于1717的一半.A项正确;B项,材料给的是同比数据,题目问环比数据,没有7月的环比增长速度.无法计算;C项,2011年8月乡村消费品零售额同比增长约为 故C项错误;D项,2011年8月限额以上企业消费品零售额的增速(22.1%)慢于限额以上企业商品零售额的同比增速(22.5%),可知作为消费品零售额另一组成部分的餐饮收入的同比增速要慢于商品零售额的增速,故D项错误。

猜你喜欢

发表评论
更多 网友评论0 条评论)
暂无评论

访问排行

Copyright © 2012-2014 恰考网 Inc. 保留所有权利。 Powered by tikuer.com

页面耗时0.0378秒, 内存占用1.04 MB, Cache:redis,访问数据库19次