2012年建材工业增加值同比增长11.5%,增速回落8个百分点,占全国工业增加值的 6.6%。全年水泥产量21.8亿吨、同比增长7.4%,陶瓷砖92亿平方...

作者: rantiku 人气: - 评论: 0
问题 2012年建材工业增加值同比增长11.5%,增速回落8个百分点,占全国工业增加值的 6.6%。全年水泥产量21.8亿吨、同比增长7.4%,陶瓷砖92亿平方米、同比增长9.4%,夭然花岗岩石材4.1亿平方米,同比增长27.2%。平板玻璃7.1亿重量箱、同比下降3.2%,卫生陶瓷产量1.6亿件、同比下降13.1%。 2012年底规模以上企业3.4万家,全年完成主营业务收入5.3万亿元,同比增长13.4%。尽管水泥、平板玻璃等行业利润总额同比分别下降32.8%、66.6%,但由于水泥制品、轻质建筑材料、建筑陶瓷、耐火材料制品、金属门窗和玻纤增强塑料材料等行业利润总额同比分别增长22.5%、21.8%、33.8%、10.5%、26.9%和30.6%,全行业利润总额仍创3750亿元新高,同比增长 3.5% 0 大宗产品产销率呈下降态势,水泥产销率97.3%、同比下降0.6个百分点,平板玻璃产销率95.6%、同比下降0.1个百分点。截至12月,水泥制造业存货790亿元,同比增加1.8%;砖瓦、石材等建筑材料制造业存货590亿元,同比增加15.7%;玻璃制品制造业存货319亿元,同比增加 15.8%。 2012年行业出口交货值约2250亿元,同比增长7.9%,出口商品离岸价格上涨9.3%。其 中,建筑卫生陶瓷、建筑和技术玻璃、玻璃纤维及制品出口额同比分别增长31.5%、10%、5.7%。 如2012年建筑卫生陶瓷商品出口价格同比涨幅与建材行业出口商品离岸价格同比涨幅相同,则2012年建筑卫生陶瓷商品出口量与上年相比()。 A.下降了 1% B.上升了 1% C.下降了 17% D.上升了 20%
选项
答案 D
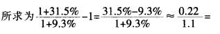
解析 根据最后一段知,2012年建材行业出口商品离岸价格同比上涨9.3%,建筑卫生陶瓷出口额同比增长31.5%,根据出口量=出口额÷出口价格,并结合题干,20%,D项满足。

猜你喜欢

发表评论
更多 网友评论0 条评论)
暂无评论

访问排行

Copyright © 2012-2014 恰考网 Inc. 保留所有权利。 Powered by tikuer.com

页面耗时0.0491秒, 内存占用1.03 MB, Cache:redis,访问数据库14次