三等控制网 1)工程概况 ××市的现有基础控制网,因自然环境变化、城市扩张、人为活动等因素的影响,目前的大地控制网点难以满足经济建设发展的需要。为了保...

作者: tihaiku 人气: - 评论: 0
问题

三等控制网

1)工程概况

××市的现有基础控制网,因自然环境变化、城市扩张、人为活动等因素的影响,目前的大地控制网点难以满足经济建设发展的需要。为了保证基础控制网的功能,计划在区域范围内利用全球导航卫星系统(GNSS)技术建立三等大地控制网。

2)问题

(1)根据项目要求,确定GNSS技术测量等级和观测技术规定。

(2)××测绘院用7台GPS接收机采用边连接方式完成全部3 5个GPS点的观测,试计算该网特征数。

(3)某个外业同步环结果见表1-14。若取σ=5cm,试对该测量成果进行评价。

选项
答案
解析

三等控制网

(1)根据项目要求,确定GNSS技术测量等级和观测技术规定。

①确定测量精度等级

a.国家三等大地控制网技术要求。国家三等大地控制网相邻点间基线水平分量的中误差不应大于±10mm,垂直分量的中误差不应大于±20mm;各控制点的相对精度应不低于1*10-6,其点间平均距离不应超过20km。

b.GPS测量精度。 B、C、D、E级GPS网测量精度见表1-16 。

C.GNSS技术测量等级选择。根据国家三等大地控制网技术要求和GPS测量精度要求,确定该市控制网采用C级GNSS测量。

②观测要求

C级GPS网观测的基本技术规定如下:a.卫星截止高度角为15°;b.同时观测有效卫星数≥4颗;c.有效观测卫星总数≥6颗;d.观测时段数≥2;e.时段长度≥4h;f.采样间隔为10~30s。

(2)××测绘院用7台GPS接收机采用边连接方式完成全部3 5个GPS点的观测,试计算该网特征数。

GPS控制点数n=3 5,接收机数k=7 。

①重复点计算

边连接是指相邻的同步图形间有一条边(即两个公共点)相连,重复点数计算式为:

w=u*(v-1)

式中:w——重复点数;

u——公共点数;

v——同步图形数。

7台GPS接收机为了完成3 5个点的测量,至少要构成v=7个同步图形,两个同步图形有u=2个公共点,所以w=2*( 7-1) =12。

②平均重复设站数

m=(n+w)/n=(35+12)/35=1. 34

③GPS网特征数计算

全网观测时段数C=n*m/k=35*1.34/7≈7

基线向量总数JC*{[k*(k-1)]/2}=7*[(7*6)/2]=147条

独立基线向量数J=C*(k-1)=7*6=42条

必要基线向量数J=n-1=34条

多余基线向量数J=J-J=42 - 34=8条

(3)某个外业同步环结果见表1-14 。若取σ=5cm,试对该测量成果进行评价。

①计算闭合差

Wx=∑△X=△XAB+△XBC+△XCA=451. 002+274. 165 - 725. 102=0.065m=65mm

Wy=∑△Y=△YAB+△YBC+△YCA=1392. 543 - 4390. 400+2997. 837=-0.020m=-20mm

Wz=∑△Z=△ZAB+△ZBC+△ZCA=318.865 - 3767.7500+3448.848=-0.037m=-37mm

②计算限差

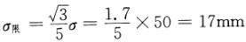
σ=5cm=50mm,限差:

③结论

由于Wx、Wy、Wz均大于限差,同步环检验不合格,成果不可靠。

相关内容:控制,工程,概况,现有,基础,变化,城市,扩张,活动,因素,影响,大地,网点,经济建设,发展,需要

猜你喜欢

发表评论
更多 网友评论0 条评论)
暂无评论

访问排行

Copyright © 2012-2014 恰考网 Inc. 保留所有权利。 Powered by tikuer.com

页面耗时0.0702秒, 内存占用1.05 MB, Cache:redis,访问数据库18次