地区坐标转换 1)项目背景 随着社会和测绘技术的发展、经济建设的需要,为了达到测绘资料成果的充分共享,必须将原有的测绘成果资料统一到同一个基准下。 2...

作者: tihaiku 人气: - 评论: 0
问题

地区坐标转换

1)项目背景

随着社会和测绘技术的发展、经济建设的需要,为了达到测绘资料成果的充分共享,必须将原有的测绘成果资料统一到同一个基准下。 2008年7月,我国新一代地心坐标系——2000国家大地坐标系(CGCS 2000)正式启用,基于1 9 5 4年北京坐标系(BJ54)和1 9 80西安坐标系(XA80)的各种坐标成果将随之需要转换到CGCS 2000。

××地区原有的测绘成果大都为地方坐标系测绘成果,需要将这些成果转换为CGCS 2000。

2)测区已有资料

(1)控制点×××个,地方高斯平面直角坐标系,中央子午线为L。 。

(2)国家一、二等大地控制点×××个,CGCS 2000。

3)问题

(1)根据案例背景回答我国常用的坐标系有哪些?CGCS 2000是怎么定义的?

(2)坐标转换有哪些形式?根据案例提供资料可否实现地方坐标系到CGCS 2000的坐标转换?

(3)简述坐标转换原理。怎样建立地方坐标系统与CGCS 2000的联系?

(4)若该地区有Aol~Aok等点的CGCS 2000高斯平面坐标(x,y)CGCS 2000 ,中央子午线Lo,简述通过GPS技术获得该地区控制网网中其他n个点[Bol~Bon,地方高斯平面坐标系(x,y)DiFan]CGCS 2000坐标的步骤。

(5)将地方坐标系测绘成果转换为CGCS 2000坐标后,怎样评定坐标转换精度?

选项
答案
解析

地区坐标转换

(1)根据案例背景回答我国常用的坐标系有哪些?CGCS 2000是怎么定义的?

①我国常用坐标系

a.属于参心坐标系的:1 9 54年北京坐标系、1 9 80西安坐标系、新1 9 5 4年北京坐标系、以任意子午线为中央子午线的高斯一克吕格平面直角坐标系(也称地方坐标系)。

b.属于地心坐标系的:WGS-84坐标系、2000国家大地坐标系(CGCS 2000)。

②CGCS 2000的定义

a.2000国家大地坐标系的定义,包括坐标系的原点、三个坐标轴的指向、尺度及地球椭球的4个基本参数的定义。

b.2000国家大地坐标系的原点,为包括海洋和大气的整个地球的质量中心。

c.2000国家大地坐标系的Z轴由原点指向历元2000.0的地极参考极的方向,该历元的指向由国际时间局给定的历元为1984.0的初始指向推算,定向的时间演化保证相对于地壳不产生残余的全球旋转;X轴由原点指向格林尼治参考子午线与地球赤道面(历元2000.0)的交点;Y轴与Z轴、X轴构成右手正交坐标系。

d.采用广义相对论意义上的尺度。

e.2000国家大地坐标系采用的地球椭球参数如下:

长半轴 a=6378137 m

扁率 a=1/298. 257222101

地心引力常数 G.M=3.986004418*1014m3/s2

自转角速度 w=7. 292115*10-5 rad/s

(2)坐标转换有哪些形式?根据案例提供资料可否实现地方坐标系到CGCS 2000的坐标转换?

①坐标转换分类。

a.同一坐标系下不同坐标形式的转换,包括空间直角坐标(X,Y,Z)与大地坐标(大地纬度B,大地经度L,大地高H)相互转换、大地坐标(大地纬度B,大地经度L)与高斯平面坐标(x,y)间的相互转换。

b.不同坐标系的转换,包括不同空间直角坐标系的转换、不同大地坐标系的转换。不同空间直角坐标系的转换,既包括不同参心空间直角坐标系的转换,也包括参心空间直角坐标系的转换和地心空间直角坐标系的转换。不同大地坐标系的转换,既包括不同参心大地坐标系的转换,也包括参心大地坐标系的转换和地心大地坐标系的转换。

②仅根据案例提供资料不能实现地方坐标系到CGCS 2000的坐标转换,因为没有提供重合点情况,不能建立两个坐标系之间的联系。

地区坐标转换

(1)根据案例背景回答我国常用的坐标系有哪些?CGCS 2000是怎么定义的?

①我国常用坐标系

a.属于参心坐标系的:1 9 54年北京坐标系、1 9 80西安坐标系、新1 9 5 4年北京坐标系、以任意子午线为中央子午线的高斯一克吕格平面直角坐标系(也称地方坐标系)。

b.属于地心坐标系的:WGS-84坐标系、2000国家大地坐标系(CGCS 2000)。

②CGCS 2000的定义

a.2000国家大地坐标系的定义,包括坐标系的原点、三个坐标轴的指向、尺度及地球椭球的4个基本参数的定义。

b.2000国家大地坐标系的原点,为包括海洋和大气的整个地球的质量中心。

c.2000国家大地坐标系的Z轴由原点指向历元2000.0的地极参考极的方向,该历元的指向由国际时间局给定的历元为1984.0的初始指向推算,定向的时间演化保证相对于地壳不产生残余的全球旋转;X轴由原点指向格林尼治参考子午线与地球赤道面(历元2000.0)的交点;Y轴与Z轴、X轴构成右手正交坐标系。

d.采用广义相对论意义上的尺度。

e.2000国家大地坐标系采用的地球椭球参数如下:

长半轴 a=6378137 m

扁率 a=1/298. 257222101

地心引力常数 G.M=3.986004418*1014m3/s2

自转角速度 w=7. 292115*10-5 rad/s

(2)坐标转换有哪些形式?根据案例提供资料可否实现地方坐标系到CGCS 2000的坐标转换?

①坐标转换分类。

a.同一坐标系下不同坐标形式的转换,包括空间直角坐标(X,Y,Z)与大地坐标(大地纬度B,大地经度L,大地高H)相互转换、大地坐标(大地纬度B,大地经度L)与高斯平面坐标(x,y)间的相互转换。

b.不同坐标系的转换,包括不同空间直角坐标系的转换、不同大地坐标系的转换。不同空间直角坐标系的转换,既包括不同参心空间直角坐标系的转换,也包括参心空间直角坐标系的转换和地心空间直角坐标系的转换。不同大地坐标系的转换,既包括不同参心大地坐标系的转换,也包括参心大地坐标系的转换和地心大地坐标系的转换。

②仅根据案例提供资料不能实现地方坐标系到CGCS 2000的坐标转换,因为没有提供重合点情况,不能建立两个坐标系之间的联系。

(3)简述坐标转换原理。怎样建立地方坐标系统与CGCS 2000的联系?

①坐标转换原理。

坐标转换原理:选择适当(具有一定密度且分布均匀)的重合点,利用所选重合点的两种坐标系的坐标,采用适当的坐标转换模型计算两坐标系之间的坐标转换参数,再将转换参数带回坐标转换模型求得非重合点在所求坐标系的坐标。

②建立地方坐标系统与2000国家大地坐标系的联系。

a.利用坐标转换方法将地方坐标系统下控制点成果转换到2000国家大地坐标系下。

b.重合点:坐标转换时,在两个坐标系中都拥有坐标的大地点,也称为公共点。

c.重合点选取原则:高等级、高精度、不含粗差的国家控制点,分布均匀、覆盖转换区域、周围和中心都有重合点,选适当均匀分布的重合点检核坐标转换精度。

d.重合点资料获取:实测获取和收集获取。

e.确定转换模型计算坐标转换参数:地方坐标系统是平面坐标系统时采用采用4参数转换模型,重合点数目至少2个;地方坐标系统是空间直角坐标系统时采用Bursa七参数转换模型,重合点数目至少3个;通过重合点计算相应模型的坐标转换参数。重合点较多时,也可使用多元回归模型。

f.重合点兼容性分析:分析重合点坐标转换残差,或利用检查点(未参加坐标转换参数计算的重合点)进行转换参数检验,剔除粗差点。坐标转换残差满足精度要求(合格)时,计算最终的坐标转换参数并估计坐标转换精度。

g.根据计算的转换参数计算待转换点的CGCS 2000坐标。坐标转换中误差应小于0. 05m。

(4)若该地区有Aol~Aok等点的CGCS 2000高斯平面坐标(x,y)CGCS 2000,中央子午线Lo,简述通过GPS技术获得该地区控制网网中其他n个点[Bol~Bon,地方高斯平面坐标系(x,y)DiFan]CGCS 2000坐标的步骤。

步骤如下:

①重合点选取:从Bol~Bon行选取m个均匀分布的控制点,不妨假设编号为Bol~Bon

②GPS联测:利用GPS技术测量得到的Aol~Aok 、Bol~Bom各点WGS-84坐标系的大地坐标(B,L,H)WGS-84

③中央子午线取Lo,利用高斯投影将Aol~Aok、Bol~Bom各点大地坐标(B,L)WGS-84变换

为高斯平面坐标(x, y)WGS-84

④利用平面四参数转换模型,通过Aol~Aok的(x,y)CGCS 2000与(x,y)WGS-84计算WGS-84坐标系的高斯坐标到CGCS 2000高斯坐标的转换参数,设为CanShuWGS84-2000

⑤利用平面四参数转换模型,通过Bol~Bon的(x,y)Difan 与(x,y)WGS-84计算地方坐标系的高斯坐标到WGS-84坐标系的高斯坐标的转换参数,设为CariShuDifan-WGS84

⑥利用平面四参数转换模型和CanShU)Difan-WGS84 ,计算Bol~Bon中除了m个重合点外的非重合点在WGS-84高斯坐标(x,y)WGS-84

⑦利用平面四参数转换模型和“④”得到的CanShuWGS84-2000与“⑥”得到的(x,y)WGS-84,计算Bol~Bon的(x,y)CGCS 2000

注:也可利用GPS测量Aol~Aok和Bol~Bon,然后进行坐标转换,但是这样的方案完全舍弃了地方坐标系的成果。

(5)将地方坐标系测绘成果转换为CGCS 2000坐标后,怎样评定坐标转换精度?

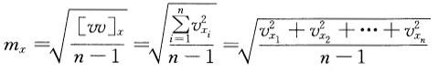
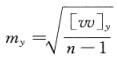
①坐标转换精度评定方法:依据计算坐标转换参数的重合点的残差中误差评估坐标转换精度。

②残差计算。

设参加转换参数计算的重合点数目为n,则第i个重合点的残差vi为:

vi=第i个重合点转换坐标-第i个重合点已知坐标 (i=1,2,…,n)

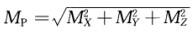
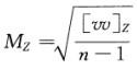
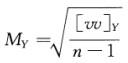
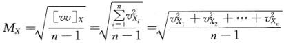
③空间直角坐标转换精度评定。

空间直角坐标X残差中误差为:

空间直角坐标Y残差中误差为:

空间直角坐标Z残差中误差为:

则点位中误差为:

④平面直角坐标转换精度评定。

平面直角坐标x残差中误差为:

平面直角坐标y残差中误差为:

大地高H残差中误差为:

相关内容:地区,坐标,项目,背景,社会,测绘,技术,发展,经济建设,需要,资料,成果,基准

猜你喜欢

发表评论
更多 网友评论0 条评论)
暂无评论

访问排行

Copyright © 2012-2014 恰考网 Inc. 保留所有权利。 Powered by tikuer.com

页面耗时0.0519秒, 内存占用1.07 MB, Cache:redis,访问数据库15次