××市的基础控制网,因受城市建设、自然环境、人为活动等因素的影响,测量标志不断损坏、减少,为了保证基础控制网的功能,该市决定对基础控制网进行维护,主要工作...

作者: tihaiku 人气: - 评论: 0
问题

××市的基础控制网,因受城市建设、自然环境、人为活动等因素的影响,测量标志不断损坏、减少,为了保证基础控制网的功能,该市决定对基础控制网进行维护,主要工作内容包括控制点的普查、补埋、观测、计算及成果的坐标转换等。

现有该市基础控制网的观测数据及成果;联测国家高等级三角点5个,基本均匀覆盖整个城市区域,各三角点均有1980西安坐标系成果;城市及周边地区的GPS连续运行参考站观测数据及精确坐标;城市及周边地区近期布设的国家GPS点及成果。控制网采用三等GPS网,主要技术指标见下表。

外业资料的检验使用随接收机配备的商用软件对观测数据进行解算,对同步环闭合差、异步环闭合差、重复基线较差进行检核,各项指标应满足精度要求。

式中:σ为基线测量误差,n为闭合环边数。

重复基线的长度较差( dS)应满足规范要求。

项目实施中,测得某一基线长度约为10 km,重复基线的长度较差95.5 mm;某一由6条边(平均边长约为5 km)组成的独立闭合环,其X、Y、Z坐标分量的闭合差分别为60.4 mm、160.3 mm、90.5 mm。

GPS控制网平差解算包括三维无约束平差和三维约束平差。

该市基于2000国家大地坐标系建立了城市独立坐标系。该独立坐标系使用中央子午线为东经×××°15'任意带高斯平面直角坐标。通过平差与严密换算获得城市基础控制网2000国家大地坐标系与独立坐标系成果后,利用联测的5个高等级三角点成果,采用平面二维四参数转换模型,获得了该基础控制网1954北京坐标系与1980西安坐标系成果。

问题

(1)计算该重复基线长度较差的最大允许值,并判定其是否越限。

(2)计算该独立闭合环坐标与坐标分量的闭合差的限差值,并判定闭合差是否越限。

(3)简述该项目GPS数据处理的基本流程。

选项
答案
解析

(1)可以将最弱边相对中误差理解为边长相对误差的极限值,即

MSlim/S=(2*MS/S)=1/80 000

式中:MS为边长相对中误差;S为边长。

题中指定边的误差的极限值

MSlim =2*MS=10 000 000 mm*1/80 000 =125 mm

可以算得

MS=62.5 mm

因为边长测量值

S= (S1+S2)/2

式中:S1、S2分别为往返测量值。

往返测较差

dS =S1-S2

根据误差传播率,则有

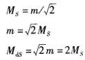
(MS)2=(m1/2)2+( m2/2)2

(MdS)2=(m1)2+ (m2)2

式中:m1、m2分别为往返测量中误差。

假定往返测精度相同,即m1=m2=m可推得

如果取两倍中误差作为极限误差,则较差极限值(允许值)=2MdS =4M=250 mm,中往返较差为95.5 mm<250 mm,故不超限。

(2)首先计算基线测量误差

均大于其容许值,故判定该独立环闭合差超限。

(3)数据处理流程如下:

④数据准备,包括输入必要数据(如测站名称、仪器高)、将全部数据文件转换成数据处理软件认可的格式等;

②将全部数据文件导入处理软件:

③已知数据导入(5个高等级三角点的1980西安坐标系坐标);

④基线解算,包括对基线精度、同步环、异步环和重复基线闭合差、较差情况的考察、分析和处理,必要时对某些测站进行重测:

⑤WGS—84坐标系下三维平差(无约束平差)及其精度分析并决定处理办法:

⑥1980西安坐标系下二维平差(利用5个高等级三角点1980西安坐标系坐标作为约束条件的约束平差)及其精度分析并决定处理办法;

⑦输出平差结果。

相关内容:基础,控制,城市建设,活动,因素,影响,测量,标志,不断,功能,决定,工作

猜你喜欢

发表评论
更多 网友评论0 条评论)
暂无评论

访问排行

Copyright © 2012-2014 恰考网 Inc. 保留所有权利。 Powered by tikuer.com

页面耗时0.0638秒, 内存占用1.05 MB, Cache:redis,访问数据库19次