某市计划测制本地区的1:2000比例尺的地形图,前期工作是对本地区进行航空摄影。 1.摄区概况 摄区东西长132km,南北长112km,为一矩形区域,...

作者: tihaiku 人气: - 评论: 0
问题

某市计划测制本地区的1:2000比例尺的地形图,前期工作是对本地区进行航空摄影。

1.摄区概况

摄区东西长132km,南北长112km,为一矩形区域,总面积为14784km2。全测区包含平地和丘陵地两种地形,其中,绝大多数是平地,约占整个测区80%的面积,主要位于测区南部的大部分地区;测区内有少量丘陵地区,主要集中在测区的北部,其面积约占整个测区面积的2 0%;海拔高度平地低点为52m,最高海拔为345m。测区内低点平均高程为7 5 m,高点平均高程为234m。

2.航空摄影基本技术要求

(1)航空摄影采用传统的航空摄影方式,航摄仪型号为RC-30,像幅为23cm*23cm。航摄仪焦距为152mm,影像扫描分辨率为0.02mm,像片类型为真彩色。

(2)航摄比例尺为1:200000

(3)航向重叠要求为6 5%,最小不得小于6 0%;旁向重叠要求为3 5%,最小不得小于2 5%。

(4)航线敷设按常规的东西向敷设;航向覆盖超出测区边界线不少于2条基线,旁向覆盖超出测区边界线不少于像幅的50%。

(5)采用GPS导航,按设计坐标曝光;不敷设构架航线。

【问题】

1.航空摄影项目包括哪些环节?

2.航空摄影技术设计包括哪些内容?

3.航摄分区的原则是什么?

4.根据案例计算以下摄影参数:摄影基准面;相对航高、绝对航高;摄区最高点和最低点重叠度;航摄分区数;摄区航线条数、每条航线像片数。

选项
答案
解析

1.测绘航空摄影项目主要包括:航摄空域的申请、编写航空摄影技术设计书、摄区划分、航摄基本参数计算、航摄季节和航摄时间的选择、航摄仪的选择与检定、航空胶片的选择和测定、航空摄影、航空摄影影像处理、成果质量检查和成果整理与验收等。

2.航空摄影技术设计主要包括:任务来源、摄区概况、主要技术依据、技术设计、实施方案、质量控制与保障、成果整理和提交成果资料等内容。

3.航摄分区原则如下:

(1)分区的界线应与图廓线一致。

(2)当航摄比例尺小于1:7000时,分区内的地形高差不应大于相对航高的1/4(以分区的平均高度平面为摄影基准面的航高);当航摄比例尺大于或等于1:7000时,分区内的地形高差不应大于相对航高的1/6。分区内的地形高差ΔH=h高平均-h低平均

(3)根据成图比例尺确定分区最小跨度,在地形高差许可的情况下,航摄分区的跨度应尽量划大,同时分区划分还应考虑用户提出的加密方法和布设方案要求。

(4)当地面高差突变,地形特征差别显著或有特殊要求时,在用户许可的情况下,可以破图幅划分航摄分区。

(5)分区内的地物景物反差、地貌类型应尽量一致。

(6)划分分区时,应考虑航摄飞机侧前方安全距离与安全高度。

(7)当采用GPS(全球定位系统)辅助空三航摄时,划分分区除应遵守以上各规定外,还应确保分区界线与加密分区界线相一致或一个摄影分区内可涵盖多个完整的加密分区。

4.根据案例计算以下摄影参数:

(1)摄影基准面。

h=(h高平均+h低平均)/2=(234+72)/2=154.5(m)

(2)相对航高、绝对航高。

H=m·f=20000*1 5 2*0.001= 3040(m)

H=H+h=3040+154. 5=3194.5(m)

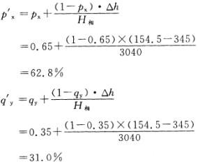
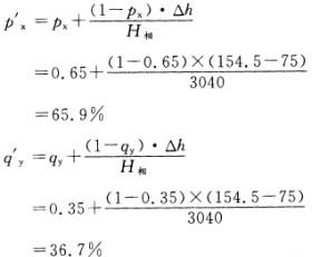
(3)摄区最高点和最低点重叠度。

最高点:

最低点:

(4)航摄分区数。

该区的高差为:345-52=293(m),小于相对航高3040的1/4,该区只需一个摄区。

(5)摄区航线条数、每条航线像片数。

基线长度:Bx=Lx(1- px)·m=230*(1-0.6 5)*20=1610 (m)。

航线间隔:Dy=Ly(1- qy)·m=230*(1-0. 35)*20=2990( m)。

分区航线条数=分区宽度/Dy=112000/2990=38(条)。

每条航线像片数=每条航线长度/Bx=132000/1610=82(张)。

分区像片数= ∑ 航线像片数=38*82=3116(张)。

相关内容:计划,测制,比例尺,地形图,前期,工作,航空,摄影,摄区,概况,东西,南北,矩形,区域

猜你喜欢

发表评论
更多 网友评论0 条评论)
暂无评论

访问排行

Copyright © 2012-2014 恰考网 Inc. 保留所有权利。 Powered by tikuer.com

页面耗时0.0410秒, 内存占用1.05 MB, Cache:redis,访问数据库17次