1.工程简介 沙子岭隧道起讫里程为DIK1584+145~DIK1584+751,全长606m,其中明挖段里程分别为DIK1584+390~DIK158...

作者: tihaiku 人气: - 评论: 0
问题

1.工程简介

沙子岭隧道起讫里程为DIK1584+145~DIK1584+751,全长606m,其中明挖段里程分别为DIK1584+390~DIK1584+425、DIK1584+543~DIK1584+594,长度分别为3 5 m和51m。

沙子岭隧道DIK1584+145~DIK1584+569.81段位于半径为9000m的圆曲线上,DIK1584+569.81~DIK1584+751位于缓和曲线上。隧道纵坡为人字坡,坡度分别为5‰和—11.5‰,在DIK1584+93.75~DIK1584+506. 25设置竖曲线,曲线半径为25000m。

2.测量依据

(1)《京沪高速铁路测量暂行规定》铁建设[2003]13号;

(2)《国家三、四等水准测量规范》(GB 12898—91);

(3)《设计院控制桩表》。

3.测量仪器及人员

导线测量采用尼康DTM—352C全站仪,水准测量采用DSZ3水准仪。在使用前经专门机构检测,测量精度满足施工要求。测量由1名测量工程师和3名测量技师组成。

4.隧道洞外控制测量

(1)洞外平面控制测量

洞外平面控制测量材料:①洞外平面控制测量精度。对长度小于4km的隧道,洞外、洞内导线测量按四等精度,边长相对误差不大于1/20000,测角中误差为2.5"。②隧道洞外控制网布设。根据《京沪高速铁路测量暂行规定》中规定,洞外平面控制测量,结合隧道长度、平面形状、线路通过地区的地形和环境,宜采用GPS测量、导线测量。沙子岭隧道洞外控制网采用附和导线,在入口和出口处,用加密GPS点作为附和边(GPS点精度为四等导线点)。③由人口和出口处的加密点GPS1.GPS2和N963, N96 —4GPS相连形成附和导线,采用尼康DTM一3 5 2C全站仪,用测回法按四个测回进行测量,对测量结果进行简易平差,平差时将闭合差平均分配在各个水平角中。取平差后的结果作为最终结果。

(2)洞外高程控制测量

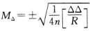
根据《京沪高速铁路测量暂行规定》,隧道四等高程控制测量可采用水准测量,也可采用光电测距三角高程测量。沙子岭隧道高程控制使用DSZ3水准仪和双面水准尺,按四等水准测量的规范要求进行施测。在入口处加密水准点,从四等水准点IC1102出发,按闭合导线进行往返测量。路线往返测高差不符值(K为路线成测段的长度,km)。测量结束后,按上式测段高差不符值计算偶然中误差MΔ,其计算式为:。式中,Δ为测段往返测(或左右路线)高差不符值,mm;R为测段长度,km;n为测段数。规范要求四等水准测量偶然中误差MΔ≤5.0″。

对测量结果,则按与距离成正比的原则,将高差闭合差反其符合进行分配,以改正水准路线上每两点间的高差,最后按改正后的高差计算出加密水准点的高程。

5.隧道洞内控制测量

(1)洞内平面控制测量

隧道洞内控制测量由于受环境条件的限制,一般采用导线测M 。沙子岭隧道长度为606m,中间还有两段35m和51m的明挖地段,线路较短,因此采用单导线进行布设。为了确保测量结果的可靠性,在施测时必须进行往返测量或独立进行两次以上的测量。导线角采用左右角观测法,测角中误差为2.5″,测回数为4测回。测角精度评定:。式中:dβ为导线角两次测量或左、右角的差值;以为导线角的测站数。洞内导线边长测量作业方法、精度要求和洞外相同。隧道施工每进洞200m时,洞内导线点应同洞口导线点进行联测。同时在每一次建立新导线点时,对起算的原有导线点必须进行复核。

(2)洞内导线点的埋设

洞内导线点由于受施工影响比较大,应埋设在坑道底板以下10~20cm处,上盖以铁板,并在边墙上用红油漆注明点号和里程,用箭头指示桩位。

(3)洞内高程控制

洞内高程控制按四等水准测量精度要求施测,观测方法和洞外相同。洞内高程控制点的密度一般不大于200m,布设于导线控制点上。

6.隧道贯通误差分析

贯通误差精度要求:对长度小于4km的隧道。洞外、洞内控制测量对贯通面的贯通误差影响分别为30mm、40mm,高程中误差分别为18mm、17mm。

7.仪器检定证书(略)

【问题】

1.试述场区平面控制网。

2.试述四等水准测量双面尺中丝读数法一测站观测顺序。

3.隧道贯通误差包括哪三方面的内容?

选项
答案
解析

1.场区平面控制网:

(1)场区平面控制网,可根据场区的地形条件和建(构)筑物的布置情况,布设成建筑方格网、导线及导线网、三角形网或GPS网等形式。

(2)场区平面控制网,应根据工程规模和工程需要分级布设。对于建筑场地大于1 km2的工程项目或重要工业区,应建立一级或一级以上精度等级的平面控制网;对于场地面积小于1 km2的工程项目或一般性建筑区,可建立二级精度的平面控制网。场区平面控制网相对于勘察阶段控制点的定位精度,不应大于5cm。

(3)控制网点位,应选在通视良好、土质坚实、便于施测、利于长期保存的地点,并应埋设相应的标石,必要时还应增加强制对中装置。标石的埋设深度,应根据地冻线和场地设计标高确定。

2.四等水准测量双面尺中丝读数法一测站观测顺序:

(1)后视标尺黑面。整平仪器,瞄准后视,读取上、下视距丝读数,中丝读数。

(2)前视标尺黑面。瞄准前视,读取上、下视距丝读数,中丝读数。

(3)前视标尺红面。将水准尺变换到红面,读取前尺中丝读数。

(4)后视标尺红面。瞄准后视尺红面,读取后尺中丝读数。

3.隧道自两端洞口相向开挖,在洞内预定位置挖通,称为贯通。隧道控制测量的主要作用是保证隧道的正确贯通,隧道的贯通误差分为三部分:贯通误差在隧道中线方向上的投影称为纵向贯通误差,在垂直于隧道中线方向上的投影称为横向贯通误差,在铅垂面内的投影称为高程贯通误差。

相关内容:工程,简介,沙子,隧道,起讫,里程,DIK1584+145,DIK1584+751,全长,明挖段,DIK1584+390,DIK158...

猜你喜欢

发表评论
更多 网友评论0 条评论)
暂无评论

访问排行

Copyright © 2012-2014 恰考网 Inc. 保留所有权利。 Powered by tikuer.com

页面耗时0.0469秒, 内存占用1.06 MB, Cache:redis,访问数据库20次