某测绘单位采用数字摄影测量方法生产某测区0. 2m底面分辨率的数字正射影像图和1:2000数字线划图,测区为丘陵地区,经济发达,交通便捷,道路纵横交错,测...

作者: tihaiku 人气: - 评论: 0
问题

某测绘单位采用数字摄影测量方法生产某测区0. 2m底面分辨率的数字正射影像图和1:2000数字线划图,测区为丘陵地区,经济发达,交通便捷,道路纵横交错,测区中心有一个大型城市,城区以高层建筑物为主,房屋密集。

项目前期已完成全测区的彩色数码航空摄影、区域网外业控制点布设与测量、空中三角测量(空三加密)等工作,相关成果检查验收合格,可提供本项目作业使用。

航空摄影使用框幅式数码航影仪,平均摄影比例尺为1:14000,平均航向重叠6 5%,平均旁向重叠3 5%,所用数码航影仪主要参数如下:

主距f:101. 4mm

像素大小:0.009mm

影像大小:7 5 00*1 1 5 00像素(航向*旁向)

项目成果采用1:2000地形图标准分幅,正射影像图生产采用数字微分纠正,以人机交互方式采集镶嵌线,镶嵌处应保持地物特征完整、影像清晰、色调均匀。数字线划图精度按规范要求为:地物点平面位置中误差不超过±1. 2m,等高线高程中误差不超过±0.7m,注记点高程中误差不超过±0. 5m。

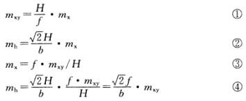
提示:立体采集平面和高程中误差可分别按下列公式估算。

其中:H——平均相对航高;

b——平均像片基线长;

mx——像点坐标量测中误差。

【问题】

1.列出本项目生产数字正射影像图的主要作业步骤。

2.简述正射影像镶嵌线采集中遇到建筑物、独立树、露天停车场等地物时的作业方法。

3.项目技术设计要求高程注记点和地物应分步采集,通过精度估算,说明分步采集的理由。

4.列出本项目提交成果的主要内容。

选项
答案
解析

1.数字正射影像图的主要作业步骤包括资料准备、色彩调整、DEM采集、影像纠正、影像镶嵌、图幅裁切、质量检查、成果整理与提交八大步骤。

2.根据现行规范要求,采集镶嵌线时,镶嵌处应保持地物特征完整,影像清晰,色调均匀。正射影像镶嵌线采集中遇到建筑物、独立树时,因为此类地物存在投影差,在相邻相片上投影差都向外位移,因此,镶嵌线应该避免切割此类地物,以保证此类地物的完整性,否则会出现地物接边的错位,实际作业时,应从这些地物的旁边选择镶嵌线。

3.根据题意有:

又因为mxy=±1.2m,b=7500*0.009*(1-0. 65=0.023625 (m),f=101.4mm=0. 1014m,将相关参数代入式④可得:

可见,用地物点平面位置测量的精度测量注记点高程时,其中误差为±7.28m,不能满足注记点高程中误差不超过±0. 5m的要求,所以项目技术设计要求高程注记点和地物应分步采集,这就是分步采集的理由之所在。

4.本项目提交成果的主要内容包括数字正射影像图和数字线划图测绘的成果。需要提交的成果包括两大部分:(1)DOM部分,DOM数据文件、DOM定位文件、DOM数据文件接合表;元数据文件;质量检查记录;质量检查报告;技术总结报告。(2) DLG部分,DLG数据文件、元数据文件、DLG数据文件接合表、质量检查记录、质量检查(验收)报告、技术总结报告。

相关内容:测绘,单位,数字摄影,测量,方法,生产,某测区,底面,分辨率,数字,射影,线划,测区,丘陵,地区,经济,交通便捷,道路

猜你喜欢

发表评论
更多 网友评论0 条评论)
暂无评论

访问排行

Copyright © 2012-2014 恰考网 Inc. 保留所有权利。 Powered by tikuer.com

页面耗时0.0524秒, 内存占用1.05 MB, Cache:redis,访问数据库19次