摄影测量共线方程包括像点坐标、对应的地面点坐标、像片主距、外方位元素共()个参数。A:8 B:10 C:12 D:14

作者: tihaiku 人气: - 评论: 0
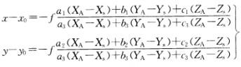
问题 摄影测量共线方程包括像点坐标、对应的地面点坐标、像片主距、外方位元素共()个参数。
选项 A:8 B:10 C:12 D:14
答案 C
解析 根据共线方程表达式可知,两个像点坐标(x,y),对应的三个地面坐标(x,y,z),1个像片主距f,6个外方位元素包括三个线元素(XS,YS,ZS),三个角元素,共计12个元素,所以选项C是正确的。

猜你喜欢

发表评论
更多 网友评论0 条评论)
暂无评论

Copyright © 2012-2014 恰考网 Inc. 保留所有权利。 Powered by tikuer.com

页面耗时0.0539秒, 内存占用1.04 MB, Cache:redis,访问数据库19次