设对某角观测一个测回的观测中误差为σβ=6″,现要使该角的观测结果精度达到σL=2″,需要观测()个测回。A:2 B:3 C:6 D:9

作者: tihaiku 人气: - 评论: 0
问题 设对某角观测一个测回的观测中误差为σβ=6″,现要使该角的观测结果精度达到σL=2″,需要观测()个测回。
选项 A:2 B:3 C:6 D:9
答案 D
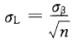
解析 角的观测结果是各测回所测量角的平均值,即,应用误差传播律,角度平均值的中误差为,所以测回。故选D。

相关内容:某角,观测,测回,误差,结果,精度,需要,个测回

猜你喜欢

发表评论
更多 网友评论0 条评论)
暂无评论

Copyright © 2012-2014 恰考网 Inc. 保留所有权利。 Powered by tikuer.com

页面耗时0.0333秒, 内存占用1.04 MB, Cache:redis,访问数据库20次