丈量一正方形一条边,边长观测中误差为σL=4cm,则该正方形周长的中误差为()。A:2cm B:4cm C:16cm D:8cm

作者: tihaiku 人气: - 评论: 0
问题 丈量一正方形一条边,边长观测中误差为σL=4cm,则该正方形周长的中误差为()。
选项 A:2cm B:4cm C:16cm D:8cm
答案 C
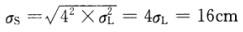
解析 正方形有4条等长的边,由于只测量了一条边,所以,周长S=4L。应用误差传播律,正方形周长的中误差为。故选C。

相关内容:正方形,边长,观测,误差,周长的

猜你喜欢

发表评论
更多 网友评论0 条评论)
暂无评论

Copyright © 2012-2014 恰考网 Inc. 保留所有权利。 Powered by tikuer.com

页面耗时0.0299秒, 内存占用1.04 MB, Cache:redis,访问数据库19次