2012年,某市下辖六个县的棉花种植面积按规模由小到大依次为800公顷、900公顷、1100公顷、1400公顷、1500公顷、3000公顷,这六个县棉花种...

作者: rantiku 人气: - 评论: 0
问题 2012年,某市下辖六个县的棉花种植面积按规模由小到大依次为800公顷、900公顷、1100公顷、1400公顷、1500公顷、3000公顷,这六个县棉花种植面积的中位数是()公顷。
选项 A:1450 B:1250 C:1100 D:1400
答案 B
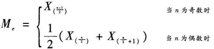
解析 设一组数据为X1,X2,…,Xn,按从小到大顺序为X,X,…,X(n),中位数计算公式为: 已知n=6为偶数,这六个县棉花种植面积的中位数=(1100+1400)/2=1250(公顷)。

猜你喜欢

发表评论
更多 网友评论0 条评论)
暂无评论

访问排行

Copyright © 2012-2014 恰考网 Inc. 保留所有权利。 Powered by tikuer.com

页面耗时0.0592秒, 内存占用1.03 MB, Cache:redis,访问数据库17次