某产品的生产,需要经过6道不同的工序,各工序的合格率如下表所示,则平均合格率为()。A:95.00%B:6.80%C:96.63%D:97...

作者: rantiku 人气: - 评论: 0
问题 某产品的生产,需要经过6道不同的工序,各工序的合格率如下表所示,则平均合格率为()。
选项 A:95.00% B:6.80% C:96.63% D:97.80%
答案 C
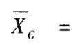
解析 对合格率进行平均,应计算几何平均数。平均合格率

猜你喜欢

发表评论
更多 网友评论0 条评论)
暂无评论

访问排行

Copyright © 2012-2014 恰考网 Inc. 保留所有权利。 Powered by tikuer.com

页面耗时0.0615秒, 内存占用1.03 MB, Cache:redis,访问数据库19次