总体所有单位标志值与其平均数离差之平方的平均数是()。A:几何平均数B:众数C:离散系数D:方差

作者: rantiku 人气: - 评论: 0
问题 总体所有单位标志值与其平均数离差之平方的平均数是()。
选项 A:几何平均数 B:众数 C:离散系数 D:方差
答案 D
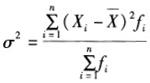
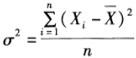
解析 方差是指所有单位标志值与其平均数离差之平方的平均数,用σ2表示,其计算公式为:(用于未整理的原始数据);或(用于分组数据)。

猜你喜欢

发表评论
更多 网友评论0 条评论)
暂无评论

访问排行

Copyright © 2012-2014 恰考网 Inc. 保留所有权利。 Powered by tikuer.com

页面耗时0.0359秒, 内存占用1.03 MB, Cache:redis,访问数据库20次