根据分组整理的数据计算算术平均数的是()。A:加权算术平均数B:简单算术平均数C:几何平均数D:不变算术平均数

作者: rantiku 人气: - 评论: 0
问题 根据分组整理的数据计算算术平均数的是()。
选项 A:加权算术平均数 B:简单算术平均数 C:几何平均数 D:不变算术平均数
答案 A
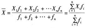
解析 加权算术平均数主要用于处理经分组整理的数据,计算公式为: 式中,Xi表示各组的组中值;fi表示各组的频数。

猜你喜欢

发表评论
更多 网友评论0 条评论)
暂无评论

访问排行

Copyright © 2012-2014 恰考网 Inc. 保留所有权利。 Powered by tikuer.com

页面耗时0.0340秒, 内存占用1.03 MB, Cache:redis,访问数据库18次