相关系教r与回归系数b的关系为()。A:回归系数b大,则相关系数r一定也大B:回归系数b与相关系数r的正负符号相同C:D:相关系数r与回归系数...

作者: rantiku 人气: - 评论: 0
问题 相关系教r与回归系数b的关系为()。
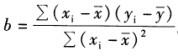
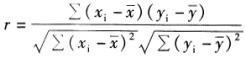
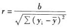
选项 A:回归系数b大,则相关系数r一定也大 B:回归系数b与相关系数r的正负符号相同 C: D:相关系数r与回归系数b无任何联系
答案 B
解析 相关系数,回归系数。它们的分子相同,分母均大于零。所以它们的正负号相同。

猜你喜欢

发表评论
更多 网友评论0 条评论)
暂无评论

访问排行

Copyright © 2012-2014 恰考网 Inc. 保留所有权利。 Powered by tikuer.com

页面耗时0.0625秒, 内存占用1.03 MB, Cache:redis,访问数据库20次