某地区2006年出口商品总额为620.91亿元,2012年出口商品总额为1510.66亿元,2006~2012年出口商品总额的平均发展速度为()。A:24...

作者: rantiku 人气: - 评论: 0
问题 某地区2006年出口商品总额为620.91亿元,2012年出口商品总额为1510.66亿元,2006~2012年出口商品总额的平均发展速度为()。
选项 A:243.30% B:115.97% C:40.55% D:15.97%
答案 B
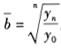
解析 平均发展速度计算公式为:,式中,n表示环比发展速度的时期数。由题意,平均发展速度=

猜你喜欢

发表评论
更多 网友评论0 条评论)
暂无评论

访问排行

Copyright © 2012-2014 恰考网 Inc. 保留所有权利。 Powered by tikuer.com

页面耗时0.0455秒, 内存占用1.03 MB, Cache:redis,访问数据库15次