计算平均发展速度通常采用()。A:算术平均法B:几何平均法C:众数D:中位数

作者: rantiku 人气: - 评论: 0
问题 计算平均发展速度通常采用()。
选项 A:算术平均法 B:几何平均法 C:众数 D:中位数
答案 B
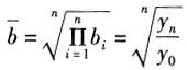
解析 平均发展速度通常采用几何平均法,其计算公式为:式中,Ⅱ表示连乘号,表示平均发展速度,n表示环比发展速度的时期数,yn表示时间序列的报告期水平,y0表示时间序列的基期水平。

猜你喜欢

发表评论
更多 网友评论0 条评论)
暂无评论

访问排行

Copyright © 2012-2014 恰考网 Inc. 保留所有权利。 Powered by tikuer.com

页面耗时0.0423秒, 内存占用1.03 MB, Cache:redis,访问数据库20次