在同一时间序列中,累计增长量与相应时期逐期增长量之间的数量关系是()。A:累计增长量等于相应时期逐期增长量的加权平均数B:累计增长量等于相应时期逐期增...

作者: rantiku 人气: - 评论: 0
问题 在同一时间序列中,累计增长量与相应时期逐期增长量之间的数量关系是()。
选项 A:累计增长量等于相应时期逐期增长量的加权平均数 B:累计增长量等于相应时期逐期增长量之积 C:累计增长量等于相应时期逐期增长量之和 D:累计增长量等于相应时期逐期增长量之和除以逐期增长量个数
答案 C
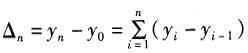
解析 逐期增长量是报告期水平与前一期水平之差,用公式表示为:△i=yi-yi-1(i=1,2,…,n)累计增长量是报告期水平与某一固定时期水平(通常是时间序列最初水平)之差,用公式表示为:△i=yi-y0(i=1,2,…,n)同一时间序列中,累计增长量等于相应时期逐期增长量之和,即:

猜你喜欢

发表评论
更多 网友评论0 条评论)
暂无评论

访问排行

Copyright © 2012-2014 恰考网 Inc. 保留所有权利。 Powered by tikuer.com

页面耗时0.0344秒, 内存占用1.03 MB, Cache:redis,访问数据库19次