某公司在2001年的销售收入为2000元,2005年的销售收入为3600元,以2001年为基期,则这个公司销售收入的平均增长速度为()。A:14%B:...

作者: rantiku 人气: - 评论: 0
问题 某公司在2001年的销售收入为2000元,2005年的销售收入为3600元,以2001年为基期,则这个公司销售收入的平均增长速度为()。
选项 A:14% B:8% C:16% D:19%
答案 C
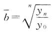
解析 本题考查平均增长速度的计算方法。利用公式得到平均发展速度≈116%,平均增长速度=平均发展速度-1=16%,因此选C。

猜你喜欢

发表评论
更多 网友评论0 条评论)
暂无评论

访问排行

Copyright © 2012-2014 恰考网 Inc. 保留所有权利。 Powered by tikuer.com

页面耗时0.0694秒, 内存占用1.03 MB, Cache:redis,访问数据库18次