利用最小二乘法求解回归模型参数的基本要求是():A:=任意值B:=最小值C:=最大值D:=0E:=最小值

作者: rantiku 人气: - 评论: 0
问题 利用最小二乘法求解回归模型参数的基本要求是():
选项 A:=任意值 B:=最小值 C:=最大值 D:=0 E:=最小值
答案 BE
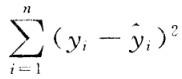
解析 本题考查最小二乘法。利用最小二乘法求解回归系数的基本要求是

猜你喜欢

发表评论
更多 网友评论0 条评论)
暂无评论

访问排行

Copyright © 2012-2014 恰考网 Inc. 保留所有权利。 Powered by tikuer.com

页面耗时0.0324秒, 内存占用1.03 MB, Cache:redis,访问数据库18次