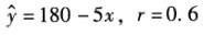
下列关于一元线性回归方程和相关系数的关系,错误的有()。A:B:C:D:E:

作者: rantiku 人气: - 评论: 0
问题 下列关于一元线性回归方程和相关系数的关系,错误的有()。
选项 A: B: C: D: E:
答案 ACD
解析 相关系数r的取值介于-1与1之间;回归系数的符号和相关系数的符号一致。A项,r的绝对值大于1;CD两项,回归系数b为负,而相关系数r为正,符号不一致。

猜你喜欢

发表评论
更多 网友评论0 条评论)
暂无评论

访问排行

Copyright © 2012-2014 恰考网 Inc. 保留所有权利。 Powered by tikuer.com

页面耗时0.0531秒, 内存占用1.03 MB, Cache:redis,访问数据库19次