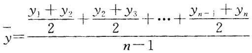
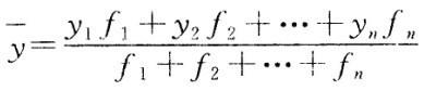
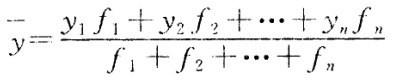
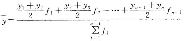
关于时点序列,计算序时平均数的方法正确的是()。A:资料逐日登记且逐日排列的连续时点序列序时平均数B:指标变动时才记录的连续时点序列序时平均数C:...

作者: rantiku 人气: - 评论: 0
问题 关于时点序列,计算序时平均数的方法正确的是()。
选项 A:资料逐日登记且逐日排列的连续时点序列序时平均数 B:指标变动时才记录的连续时点序列序时平均数 C:登记间隔不相等的间断时点序列序时平均数 D:登记间隔相等的间断时点序列序时平均数 E:登记间隔相等的间断时点序列序时平均数
答案 BD
解析 本题考查不同类型的时点序列序时平均数的计算。要求考生加以区分。

猜你喜欢

发表评论
更多 网友评论0 条评论)
暂无评论

访问排行

Copyright © 2012-2014 恰考网 Inc. 保留所有权利。 Powered by tikuer.com

页面耗时0.0435秒, 内存占用1.03 MB, Cache:redis,访问数据库18次