某公司的男职工数(单位:人)如下:该公司7月至10月份平均男职工人数为()人。A:300B:350C:400D:450

作者: rantiku 人气: - 评论: 0
问题 某公司的男职工数(单位:人)如下: 该公司7月至10月份平均男职工人数为()人。
选项 A:300 B:350 C:400 D:450
答案 B
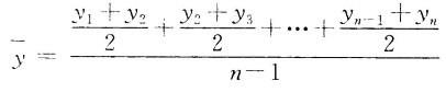
解析 本题考查时点序列的序时平均数的计算。本题属于间断时点、间隔相等的情况,利用公式得到(人),因此选B。

猜你喜欢

发表评论
更多 网友评论0 条评论)
暂无评论

访问排行

Copyright © 2012-2014 恰考网 Inc. 保留所有权利。 Powered by tikuer.com

页面耗时0.0393秒, 内存占用1.03 MB, Cache:redis,访问数据库19次