某企业各月劳动生产率资料如表26-2所示。则该企业一季度平均月劳动生产率是()。A:[(44+50.4+58.8+65.2)/4]/[(40+44+4...

作者: rantiku 人气: - 评论: 0
问题 某企业各月劳动生产率资料如表26-2所示。则该企业一季度平均月劳动生产率是()。
选项 A:[(44+50.4+58.8+65.2)/4]/[(40+44+44+46)/4] B:[(44+50.4+58.5)/3]/[40/2+44+44+46/2)/3] C:[(44+50.4+58.8)/3]/[(40/2+44+46/2)/3] D:(1.0476+1.1455+1.3067)/3
答案 B
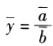
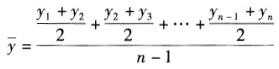
解析 劳动生产率属于相对数时间序列序时平均数,其计算公式为:,式中,分别为分子、分母指栎时间序列的序时平均数。根据题意,产值(分子)为连续数据,用简单算术平均数计算,即=(44+50.4+58.8)/3;员工数(分母)隔月登记一次,用时点数序时平均数计算,其计算公式为:,即=(40/2+44+44+46/2)/3。因此,月平均劳动生产率=

猜你喜欢

发表评论
更多 网友评论0 条评论)
暂无评论

访问排行

Copyright © 2012-2014 恰考网 Inc. 保留所有权利。 Powered by tikuer.com

页面耗时0.0569秒, 内存占用1.03 MB, Cache:redis,访问数据库20次