关于如表26-9所示的资料,下列计算方法与结果正确的有()。A:平均增长速度=860.5/345.86=248.8%B:平均发展速度为:C:平...

作者: rantiku 人气: - 评论: 0
问题 关于如表26-9所示的资料,下列计算方法与结果正确的有()。
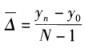
选项 A:平均增长速度=860.5/345.86=248.8% B:平均发展速度为: C:平均增长速度为:=20% D:平均增长量为: E:平均增长量为:
答案 BCD
解析 平均发展速度的计算公式为:。式中,y0为基期水平,yn为报告期水平,n为时期数。由题意,平均发展速度==120%;平均增长速度=平均发展速度-1=-1=20%。平均增长量的计算公式为:。式中,N表示时间序列项数,由题意,平均增长量=(860.5-345.86)/(6-1)=102.93(万元)。

猜你喜欢

发表评论
更多 网友评论0 条评论)
暂无评论

访问排行

Copyright © 2012-2014 恰考网 Inc. 保留所有权利。 Powered by tikuer.com

页面耗时0.0330秒, 内存占用1.03 MB, Cache:redis,访问数据库13次