某储户要求存3年期积零成整储蓄,到期支取本息10000元,如果月利率为6‰,则该储户每月应存入()。A:190B:200C:248D:250

作者: rantiku 人气: - 评论: 0
问题 某储户要求存3年期积零成整储蓄,到期支取本息10000元,如果月利率为6‰,则该储户每月应存入()。
选项 A:190 B:200 C:248 D:250
答案 C
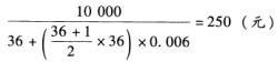
解析 积零成整储蓄存款的每月应存金额计算公式为: ,该储户每月应存金额=

猜你喜欢

发表评论
更多 网友评论0 条评论)
暂无评论

访问排行

Copyright © 2012-2014 恰考网 Inc. 保留所有权利。 Powered by tikuer.com

页面耗时0.0291秒, 内存占用1.03 MB, Cache:redis,访问数据库17次