量本利分析法中的保本点是指()。A.预算成本线与实际成本线的交点B.固定成本线与变动成本线的交点C.工程成本盈亏分界点D.预算成本线的起点...

作者: rantiku 人气: - 评论: 0
问题 量本利分析法中的保本点是指()。
选项 A.预算成本线与实际成本线的交点 B.固定成本线与变动成本线的交点 C.工程成本盈亏分界点 D.预算成本线的起点 E.实际成本线的起点
答案 AC
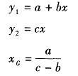
解析 量本利分析法是一种应用历史数据,利用产值、成本、利润三者的关系,预测目标成本的方法。其中“量”是指工程产值,“本”是指工程成本(固定成本与变动成本),“利”是指实际成本降低额。量本利分析法预测目标成本趋势公式为: 式中,XG表示盈亏分界点产值,即预算成本与实际成本相等的保本点产值。

猜你喜欢

发表评论
更多 网友评论0 条评论)
暂无评论

访问排行

Copyright © 2012-2014 恰考网 Inc. 保留所有权利。 Powered by tikuer.com

页面耗时0.0437秒, 内存占用1.03 MB, Cache:redis,访问数据库19次