2010年,该省高技术行业企业平均拥有科技活动人员()。A.515.8 人 B.21.6 人 C.16.9 人 D.13.4 人

作者: rantiku 人气: - 评论: 0
问题 2010年,该省高技术行业企业平均拥有科技活动人员()。 A.515.8 人 B.21.6 人 C.16.9 人 D.13.4 人
选项
答案 B
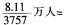
解析 根据表一第二行可知,2010年该省高技术行业企业平均拥有科技活动人员

猜你喜欢

发表评论
更多 网友评论0 条评论)
暂无评论

访问排行

Copyright © 2012-2014 恰考网 Inc. 保留所有权利。 Powered by tikuer.com

页面耗时0.0426秒, 内存占用1.02 MB, Cache:redis,访问数据库13次