—辆客车、一辆货车和一辆小轿车在同一条直线上朝同一方向行驶,在某一时刻,货车在 中,客车在前,小轿车在后,且它们的距离相等。走了 10分钟,小轿车追上了货...

作者: rantiku 人气: - 评论: 0
问题 —辆客车、一辆货车和一辆小轿车在同一条直线上朝同一方向行驶,在某一时刻,货车在 中,客车在前,小轿车在后,且它们的距离相等。走了 10分钟,小轿车追上了货车;又走了 5分钟,小轿车追上了客车。问再过多少分钟,货车将追上客车?( ) A. 10 B. 15 C. 20 D. 30
选项
答案 B
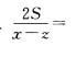
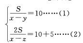
解析 设小轿车速度为x,货车为y,客车为某一时到的相等间距为S,可得:,可求出三车速度之间的关系为x = 4y —3z,代入(2)式中可得出 因此货车从开始到追上客车总共需要30分钟,则小轿车追上客车后,货车追上客车还需要30 —15 = 15(分钟)。故本题正确答案为B

猜你喜欢

发表评论
更多 网友评论0 条评论)
暂无评论

访问排行

Copyright © 2012-2014 恰考网 Inc. 保留所有权利。 Powered by tikuer.com

页面耗时0.0610秒, 内存占用1.03 MB, Cache:redis,访问数据库20次