下列关于现金最优返回线的表述中,正确的是( )。A.现金最优返回线的确定与企业可接受的最低现金持有量无关 B.有价证券利息率增加,会导致现金最优返回线上...

作者: tihaiku 人气: - 评论: 0
问题 下列关于现金最优返回线的表述中,正确的是( )。
选项 A.现金最优返回线的确定与企业可接受的最低现金持有量无关 B.有价证券利息率增加,会导致现金最优返回线上升 C.有价证券的每次固定转换成本上升,会导致现金最优返回线上升 D.当现金的持有量髙于或低于现金最优返回线时,应立即购人或出售有价证券
答案 C
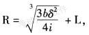
解析 现金最优返回线从公式中可以看出最优返回线与下限L成正相关,与有价证券的日利息率成负相关,与有价证券的每次转换成本6成正相关, 所以选项A、B为错误表述,选项C正确;当现金的持有量达到上下限时,应立即购人 或出售有价证券,所以选项D错误。

相关内容:现金,表述,企业,有价证券,利息率

猜你喜欢

发表评论
更多 网友评论0 条评论)
暂无评论

访问排行

Copyright © 2012-2014 恰考网 Inc. 保留所有权利。 Powered by tikuer.com

页面耗时0.0381秒, 内存占用1.05 MB, Cache:redis,访问数据库18次