假设某公司股票目前的市场价格为25元,而在6个月后的价格可能是32元和18元两种情况。再假定存在一份100股该种股票的看涨期权,期限是半年,执行价格为28...

作者: tihaiku 人气: - 评论: 0
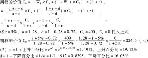
问题 假设某公司股票目前的市场价格为25元,而在6个月后的价格可能是32元和18元两种情况。再假定存在一份100股该种股票的看涨期权,期限是半年,执行价格为28元。投资者可以按10%的无风险年利率借款。购进上述股票且按无风险年利率10%借入资金,同时售出一份100股该股票的看涨期权。 要求: (1)根据单期二叉树期权定价模型,计算一份该股票的看涨期权的价值。 (2)假设股票目前的市场价格、期权执行价格和无风险年利率均保持不变,若把6个月的时间分为两期,每期3个月,若该股票收益率的标准差为0.35,计算每期股价上升百分比和股价下降百分比。 (3)结合(2)分别根据套期保值原理、风险中性原理和两期二叉树期权定价模型,计算一份该股票的看涨期权的价值。
选项
答案
解析 (1)上行乘数=32/25=1.28,下行乘数=18/25=0.72 (3)①根据套期保值原理: ②根据风险中性原理: 期望报酬率=上行概率×股价上升百分比+下行概率×股价下降百分比 =上行概率×股价上升百分比+(1-上行概率)×股价下降百分比 即:2.5%=上行概率×19.12%+(1-上行概率)×(-16.05%) 上行概率=52.74% 期权价值6个月后的期望值=52.74%×747+(1-52.74%)×0=393.97(元) Cu=393.97/(1+2.5%)=384.36(元) 期权价值3个月后的期望值=52.74%×384.36+(1-52.74%)×0=202.71(元) 期权的现值=202.71/(1+2.5%)=197.77(元) ③根据两期二叉树期权定价模型:

相关内容:假设,公司,股票,市场价格,6个月,价格,可能,情况,100股,看涨,期权,期限,半年

猜你喜欢

发表评论
更多 网友评论0 条评论)
暂无评论

访问排行

Copyright © 2012-2014 恰考网 Inc. 保留所有权利。 Powered by tikuer.com

页面耗时0.0348秒, 内存占用1.05 MB, Cache:redis,访问数据库19次