目前无风险资产报酬率为7%,整个股票市场的平均报酬率为15%,ABC公司股票期望报酬率与市场组合报酬率之间的协方差为0.025,整个股票市场平均报酬率的标...

作者: tihaiku 人气: - 评论: 0
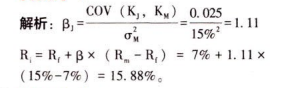
问题 目前无风险资产报酬率为7%,整个股票市场的平均报酬率为15%,ABC公司股票期望报酬率与市场组合报酬率之间的协方差为0.025,整个股票市场平均报酬率的标准差为15%,则ABC公司股票的必要报酬率为( )。
选项 A.15% B.13% C.15.88%D.16.43%
答案 C
解析

相关内容:风险,资产,报酬率,股票市场,公司,股票,期望,市场,组合,方差

猜你喜欢

发表评论
更多 网友评论0 条评论)
暂无评论

访问排行

Copyright © 2012-2014 恰考网 Inc. 保留所有权利。 Powered by tikuer.com

页面耗时0.0395秒, 内存占用1.04 MB, Cache:redis,访问数据库18次