若n期普通年金现值系数为下列各项中,其数值等于n期预付年金现值系数的有( )。

作者: tihaiku 人气: - 评论: 0
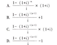
问题 若n期普通年金现值系数为

下列各项中,其数值等于n期预付年金现值系数的有( )。
选项

答案 AB
解析 本题考查预付年金现值系数。预付年金现值系数是在普通年金现值系数的基础上,期数减1,系数加1;也等于普通年金现值系数再乘以(1+i)。

相关内容:年金,现值,系数,数值

猜你喜欢

发表评论
更多 网友评论0 条评论)
暂无评论

访问排行

Copyright © 2012-2014 恰考网 Inc. 保留所有权利。 Powered by tikuer.com

页面耗时0.0363秒, 内存占用1.05 MB, Cache:redis,访问数据库20次