两种期权的执行价格均为55.5元,6个月后到期,若无风险年有效利率为10.25%,股票的现行价格为63元,看涨期权的价格为12.75元,则看跌期权的价格为...

作者: tihaiku 人气: - 评论: 0
问题 两种期权的执行价格均为55.5元,6个月后到期,若无风险年有效利率为10.25%,股票的现行价格为63元,看涨期权的价格为12.75元,则看跌期权的价格为( )元。
选项 A.7.5 B.5 C.3.5 D.2.61
答案 D
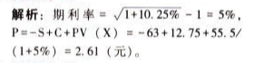
解析

相关内容:期权,价格,55.5元,到期,风险,利率,10.25%,股票,看涨,12.75元

猜你喜欢

发表评论
更多 网友评论0 条评论)
暂无评论

访问排行

Copyright © 2012-2014 恰考网 Inc. 保留所有权利。 Powered by tikuer.com

页面耗时0.0372秒, 内存占用1.05 MB, Cache:redis,访问数据库20次