甲公司采用存货模式确定最佳现金持有量,在现金需求量保持不变的情况下,当有价证券转换为现金的交易费用从每次100元下降至50元、有价证券投资报酬率从4%上涨...

作者: tihaiku 人气: - 评论: 0
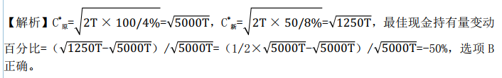
问题 甲公司采用存货模式确定最佳现金持有量,在现金需求量保持不变的情况下,当有价证券转换为现金的交易费用从每次100元下降至50元、有价证券投资报酬率从4%上涨至8%时,甲公司现金管理应采取的措施是()。
选项 A.最佳现金持有量保持不变 B.将最佳现金持有量降低50% C.将最佳现金持有量提高50% D.将最佳现金持有量提高100%
答案 B
解析

相关内容:公司,存货,模式,现金,需求量,有价证券,交易,费用,100元,证券投资,报酬率,上涨

猜你喜欢

发表评论
更多 网友评论0 条评论)
暂无评论

访问排行

Copyright © 2012-2014 恰考网 Inc. 保留所有权利。 Powered by tikuer.com

页面耗时0.0437秒, 内存占用1.05 MB, Cache:redis,访问数据库20次