行政单位2009年度人员经费支出150万元,公用经费支出200万元;2008年度同期人员经费支出140万元,公用经费支出180万元。2009年度在职人员数...

作者: tihaiku 人气: - 评论: 0
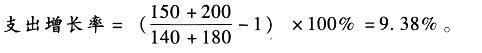
问题 行政单位2009年度人员经费支出150万元,公用经费支出200万元;2008年度同期人员经费支出140万元,公用经费支出180万元。2009年度在职人员数为35人,离退休人员为 5人。 该单位2009年度的支出增长率为( )。
选项 A. 7. 14% B. 9. 38% C. 10% D. 11. 11%
答案 B
解析

相关内容:行政,单位,年度,人员,150万元,公用,200万元,140万元,180万元

猜你喜欢

发表评论
更多 网友评论0 条评论)
暂无评论

访问排行

Copyright © 2012-2014 恰考网 Inc. 保留所有权利。 Powered by tikuer.com

页面耗时0.0294秒, 内存占用1.04 MB, Cache:redis,访问数据库18次