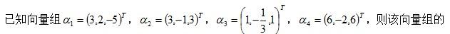
一个极大线性无关组是:( )。(A)a2 ,a4 (B) a3 ,a4 (C)a1 ,a2 (D)a2 ,a3

作者: rantiku 人气: - 评论: 0
问题 一个极大线性无关组是:( )。 (A)a2 ,a4 (B) a3 ,a4 (C)a1 ,a2 (D)a2 ,a3
选项
答案 C
解析

猜你喜欢

发表评论
更多 网友评论0 条评论)
暂无评论

Copyright © 2012-2014 恰考网 Inc. 保留所有权利。 Powered by tikuer.com

页面耗时0.0379秒, 内存占用1.01 MB, Cache:redis,访问数据库20次