在单缝夫琅禾费衍射实验中,屏上第三级暗纹对应的单缝处波面可分成的半波带的数目为:( )。(A)3 (B)4 (C)5 (D)6

作者: rantiku 人气: - 评论: 0
问题 在单缝夫琅禾费衍射实验中,屏上第三级暗纹对应的单缝处波面可分成的半波带的数目为:( )。 (A)3 (B)4 (C)5 (D)6
选项
答案 D
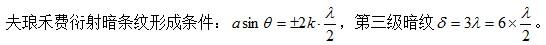
解析

猜你喜欢

发表评论
更多 网友评论0 条评论)
暂无评论

Copyright © 2012-2014 恰考网 Inc. 保留所有权利。 Powered by tikuer.com

页面耗时0.0338秒, 内存占用1.03 MB, Cache:redis,访问数据库19次