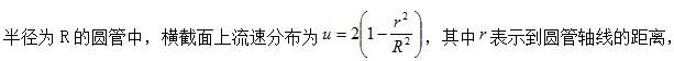
则在r1=0.2R处的粘性切应力与r2=R处的粘性切应力大小之比为:( )。(A)5 (B)25 (C)1/5 (D)1/25

作者: rantiku 人气: - 评论: 0
问题 则在r1=0.2R处的粘性切应力与r2=R处的粘性切应力大小之比为:( )。 (A)5 (B)25 (C)1/5 (D)1/25
选项
答案 D
解析

猜你喜欢

发表评论
更多 网友评论0 条评论)
暂无评论

Copyright © 2012-2014 恰考网 Inc. 保留所有权利。 Powered by tikuer.com

页面耗时0.0539秒, 内存占用1.01 MB, Cache:redis,访问数据库20次