某企业向银行借款,按季度计算,年名义利率为8%,则年实际利率为:( )。(A)8% (B)8.16% (C)8.24% (D)8.3%

作者: rantiku 人气: - 评论: 0
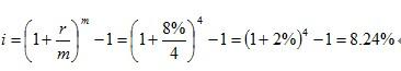
问题 某企业向银行借款,按季度计算,年名义利率为8%,则年实际利率为:( )。 (A)8% (B)8.16% (C)8.24% (D)8.3%
选项
答案 C
解析 解题过程:根据实际利率计算公式。

猜你喜欢

发表评论
更多 网友评论0 条评论)
暂无评论

Copyright © 2012-2014 恰考网 Inc. 保留所有权利。 Powered by tikuer.com

页面耗时0.0650秒, 内存占用1.03 MB, Cache:redis,访问数据库14次