一瓶氦气和一瓶氮气,它们每个分子的平均平动动能相同,而且都处于平衡态,则它们:A.温度相同,氦分子和氮分子的平均动能相同B.温度相同,氦分子和氮分子的...

作者: rantiku 人气: - 评论: 0
问题 一瓶氦气和一瓶氮气,它们每个分子的平均平动动能相同,而且都处于平衡态,则它们:
选项 A.温度相同,氦分子和氮分子的平均动能相同 B.温度相同,氦分子和氮分子的平均动能不同 C.温度不同,氦分子和氮分子的平均动能相同 D.温度不同,氦分子和氮分子的平均动能不同
答案 B
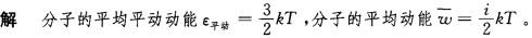
解析

猜你喜欢

发表评论
更多 网友评论0 条评论)
暂无评论

Copyright © 2012-2014 恰考网 Inc. 保留所有权利。 Powered by tikuer.com

页面耗时0.0397秒, 内存占用1.03 MB, Cache:redis,访问数据库20次