在保持高温热源温度T1和低温热源温度T2不变的情况下,使卡诺热机的循环曲线所包围的面积增大,则会:A.净功增大,效率提高B.净功增大,效率降低C....

作者: rantiku 人气: - 评论: 0
问题 在保持高温热源温度T1和低温热源温度T2不变的情况下,使卡诺热机的循环曲线所包围的面积增大,则会:
选项 A.净功增大,效率提高 B.净功增大,效率降低 C.净功和功率都不变 D.净功增大,效率不变
答案 D
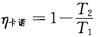
解析 解循环过程的净功数值上等于闭合循环曲线所围的面积。若循环曲线所包围的面积增大,则净功增大。而卡诺循环的循环效率由下式决定:.若T1、T2不变,则循环效率不变。

猜你喜欢

发表评论
更多 网友评论0 条评论)
暂无评论

Copyright © 2012-2014 恰考网 Inc. 保留所有权利。 Powered by tikuer.com

页面耗时0.0390秒, 内存占用1.03 MB, Cache:redis,访问数据库17次