一单缝宽度a =1×10-4m,透镜焦距f=0.5m,若用λ= 400nm的单色平行光垂直入射,中央明纹的宽度为:A.2×10-3mB. 2×10-4...

作者: rantiku 人气: - 评论: 0
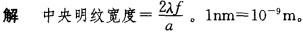
问题 一单缝宽度a =1×10-4m,透镜焦距f=0.5m,若用λ= 400nm的单色平行光垂直入射,中央明纹的宽度为:
选项 A.2×10-3m B. 2×10-4m C. 4×10-4m D.4×10-3m
答案 D
解析

猜你喜欢

发表评论
更多 网友评论0 条评论)
暂无评论

Copyright © 2012-2014 恰考网 Inc. 保留所有权利。 Powered by tikuer.com

页面耗时0.0292秒, 内存占用1.03 MB, Cache:redis,访问数据库18次