作者: rantiku 人气: - 评论: 0
问题
选项
答案 A
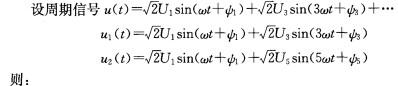
解析 解题中给出非正弦周期信号的傅里叶级数展开式。虽然信号中各次谐波的幅值通常是随着频率的增加而减少的,但是u(t)较u2(t) 和u2(t)所包含的谐波次数更多,包含的信息就更加完整。

相关内容:

猜你喜欢

发表评论
更多 网友评论0 条评论)
暂无评论

Copyright © 2012-2014 恰考网 Inc. 保留所有权利。 Powered by tikuer.com

页面耗时0.0360秒, 内存占用1.01 MB, Cache:redis,访问数据库19次