A. a=1,b=2B. a=-1,b=2C. a = 1,b=0D. a=-1,b=0

作者: rantiku 人气: - 评论: 0
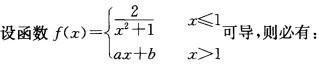
问题
选项 A. a=1,b=2 B. a=-1,b=2 C. a = 1,b=0 D. a=-1,b=0
答案 B
解析

猜你喜欢

发表评论
更多 网友评论0 条评论)
暂无评论

Copyright © 2012-2014 恰考网 Inc. 保留所有权利。 Powered by tikuer.com

页面耗时0.0456秒, 内存占用1.01 MB, Cache:redis,访问数据库20次