下列各级数中发散的是:

作者: rantiku 人气: - 评论: 0
问题 下列各级数中发散的是:
选项
答案 A
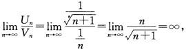
解析 解 利用交错级数收敛法可判定选项B的级数收敛,利用正项级数比值法可判定选项C 的级数收敛,利用等比级数收敛性的结论知选项级数D的级数收敛,故发散的是选项A的级数。或直接通过正项级数比较法的极限形式判定,
  • 上一篇:
  • 下一篇:

猜你喜欢

发表评论
更多 网友评论0 条评论)
暂无评论

Copyright © 2012-2014 恰考网 Inc. 保留所有权利。 Powered by tikuer.com

页面耗时0.0333秒, 内存占用1.01 MB, Cache:redis,访问数据库20次