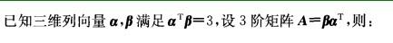
A.β是A的属于特征值0的特征向量B. α 是A的属于特征值0的特征向量C.β是A的属于特征值3的特征向量D.α 是A的属于特征值3的特征向量

作者: rantiku 人气: - 评论: 0
问题
选项 A.β是A的属于特征值0的特征向量 B. α 是A的属于特征值0的特征向量 C.β是A的属于特征值3的特征向量 D.α 是A的属于特征值3的特征向量
答案 C
解析 解 通过矩阵的特征值、特征向量的定义判定。只要满足式子即为矩阵A对应特征值λ的特征向量。 再利用题目给出的条件:

猜你喜欢

发表评论
更多 网友评论0 条评论)
暂无评论

Copyright © 2012-2014 恰考网 Inc. 保留所有权利。 Powered by tikuer.com

页面耗时0.0526秒, 内存占用1.03 MB, Cache:redis,访问数据库20次